RPA作为自动化软件可模拟人在软件系统中的交互动作来执行业务流程,达观数据凭借其在AI领域的多年积累,将NLP语义分析与OCR文本识别技术与RPA进行深度融合。除了在智能化方面的创新,在RPA系统兼容性方面,达观智能RPA底层系统采用谷歌Go语言开发,并与计算机视觉技术创新结合,几乎兼容所有操作系统和各类企业的第三方应用程序,更好更全面地满足企业的自动化需求,如收集整理信息、抽取信息、读取数据、内容审核、材料预审、材料报送、数据记录、文档归纳等。
RPA适用于完成大批量、重复性、有规律的工作,例如财务、人事等场景。在企业的采购、资金、税务、报表等财务工作中,需要从不同系统中下载批量的文件,并按固定的规则进行合并、分类、核验等处理。而RPA机器人的工作效率高、不出差错,面对大量机械繁琐枯燥的工作不会有情绪影响。
对于需要在规定时间内完成的工作同样适用于RPA,比如监管报送、同业对账等场景。银行的外汇报送业务,外汇系统每个月的开放时间只有两天,工作人员为了完成报送任务不得不加班。RPA机器人可以7*24小时不间断地工作,一年365天都可以全自动地工作。这样不仅解放了员工的时间,也可以更快更及时地完成任务。
另外,RPA不需要对企业现有的信息化系统进行改造,适用于处理多个内部或外部无关联的系统,例如企业信用信息查询、发票验真等场景。在这种涉及到外部信息处理的流程中,以往都是由人手工完成。RPA机器人的流程部署无需这些系统提供接口,也不必改动原有系统,并且自动化流程开发时间短,非常适合处理这种大量重复获取和校验信息的工作。
各个行业基于不同语言和架构的软件系统,因语言和框架的特异性差别巨大、兼容极其困难,这是数据及业务联通之路上横隔着的一条条鸿沟。达观智能RPA作为一座桥梁,联接一切可以被联接的软件和数据。从软件底层架构和人工智能识别技术两个层面,完美地突破了自动化领域的关键技术瓶颈,让客户的业务流程自动化变得更加轻松和简单。
达观智能RPA架构先进、支持跨平台部署,全面兼容Windows、国产OS、Linux、Mac等操作系统,也是业界唯一基于Go语言开发并支持所有操作系统的RPA产品。
Go语言是一门开源的编程语言,具有简洁、快速、安全的语言特色,适用于构造可靠且高效的软件。Go语言代码在运行之前通过编译器生成二进制机器码,然后在目标机器上运行。

Go语言代码编译一般分成四个阶段:词法和语法分析、类型检查和抽象语法树(AST)转换、中间代码生成、机器码生成。
第一步,Go语言编译器对源代码文件进行解析:词法解析器将源代码中的字符串序列转换成Token序列;语法解析器按照标准Go语言规定的LALR(1)文法自下而上或自上而下地对Token序列进行规约得到抽象语法树。
第二步,Go语言编译器对语法树中定义和使用的类型进行检查,按一定顺序对不同类型的节点进行验证和转换。
第三步,Go语言编译器对项目中的全部函数进行编译,将所有函数对应的抽象语法树转换成使用SSA特性的中间代码。
第四步,Go语言编译器将中间代码编译成在不同目标机器上运行的机器码。不同的处理器使用不同的机器语言,Go语言编译器根据目标机器的处理器架构翻译成不同的机器码在不同的机器上运行。
Go语言编译器支持几乎全部常见的CPU指令集类型(包括amd64、arm64、x86、mips等),支持跨操作系统和跨处理器架构的交叉编译,目标平台操作系统包括Windows 2000及以上版本,Linux2.6及以上版本,Mac的FreeBSD 7及以上版本等,支持处理器架构包括386、amd64和arm架构等。

mac 版本

Linux 版本
计算机视觉(Computer Vision,CV)是一项帮助计算机、软件、机器人或其他设备获取、分析及处理图片的技术。其中模板匹配是研究在一幅图像中寻找与另一幅模板图像最匹配(相似)部分的技术。模板匹配技术需要两幅图像:一是原图像,在其中寻找和模板匹配的区域;
二是模板,是用于和原图像比照的图像块。在检测最匹配区域过程中,模板在原图像上进行滑动比较,即图像块一次移动一个像素(从左往右,从上往下)。每个位置都进行一次匹配度或相似度的计算,最终找到模板与原图像最匹配的位置。匹配的算法包括平方差匹配、相关匹配等,具体如下:
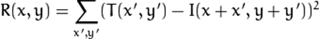
1、平方差匹配法:利用平方差来进行匹配,最佳匹配为0,匹配越差,匹配值越大。

注:T代表模板图像,I代表原图像,下同。
2、相关匹配法:采用模板和图像间的乘法操作,较大的数表示匹配程度较好。0表示最差的匹配效果。

3、相关系数匹配法:将模版对其均值的相对值与图像对其均值的相关值进行匹配。1表示完美匹配,-1表示糟糕匹配,0表示没有任何相关性(随机序列)。


传统的元素捕获功能依靠系统或软件提供的接口,对目标元素进行识别或定位,通过消息传递机制或键盘鼠标操作完成一系列的操控动作。但元素捕获能力的强弱很大程度上取决于开发的接口,很多第三方的软件、或者非标准化的元素常常无法被捕获。
达观智能RPA创新性地将计算机视觉技术与传统元素捕获功能相结合,更好地支持非标准化元素定位与获取。达观智能RPA利用模板匹配技术识别并定位目标元素,然后使用键盘鼠标操作进行控制。

在产品性能测试过程中,达观智能RPA可以100%捕获国产办公软件WPS、国产数据库、Chrome、IE、Firefox、App、Email、Office、ERP 等各类应用程序界面的非标准元素,完全克服了RPA在实施过程中部分非标准元素无法定位和捕获的尴尬局面,极大地提升RPA能力边界。
目前,达观智能 RPA已在银行、保险、财税等不同行业的场景中稳定高效地开展各项工作,为企业的降本增效和营收增长带来显著成效。后续,达观数据将聚焦RPA产品的智能性、兼容性、以及易用性等产品核心功能的建设,以更好支持和快速响应企业对各类软件自动化的需求,让RPA成为企业实现数字化转型的更好工具。
同时,达观数据携手RPA中国,共同推出涵盖RPA咨询分析师、以及初级、高级、资深RPA开发技术专家的系统化认证课程,结合达观数据RPA+AI的独特优势,推动智能自动化市场的人才培养与生态建设,与金融科技、咨询服务、信息科技、高等院校等行业合作伙伴共同打造RPA+的生态体系,扩展更多 RPA应用场景,加速RPA+AI 生态在中国企业中的智能化应用落地与创新。
特别声明:
文章来源:达观数据(Datagrand_)
作者:邵万骏
原文链接:https://mp.weixin.qq.com/s/XRS9u7G23fp0xhLdNh_4og
未经允许不得转载:RPA中国 | RPA全球生态 | 数字化劳动力 | RPA新闻 | 推动中国RPA生态发展 | 流 > 达观数据率先推出业界唯一兼容所有操作系统的RPA机器人

heng.png)
为何说数字化的本质就是自动化
科技爆炸,白领办公新style,工作吩咐一声,电脑自动完成
如何通过人工智能和自动化提高供应链弹性?
经济萧条下,RPA投入应该被“牺牲”掉吗?












热门信息
阅读 (14728)
1 2023第三届中国RPA+AI开发者大赛圆满收官&获奖名单公示阅读 (13753)
2 《Market Insight:中国RPA市场发展洞察(2022)》报告正式发布 | RPA中国阅读 (13055)
3 「RPA中国杯 · 第五届RPA极客挑战赛」成功举办及获奖名单公示阅读 (12964)
4 与科技共赢,与产业共进,第四届ISIG中国产业智能大会成功召开阅读 (11567)
5 《2022年中国流程挖掘行业研究报告》正式发布 | RPA中国